Study Overview
Direct comparison of EREV platforms across demanding drive cycles and towing configurations.
- Ram 1500 REV: 130 kW generator, 7 configurations tested
- Scout Terra EREV: 100 kW generator, 7 configurations tested
- Drive Cycles: 4 cycles (Davis Dam, I-70 Climb, Highway 75 MPH, US06)
- Range Tests: Multi-cycle EPA-style + Highway 75 MPH steady-state
- Starting SOC: 100%
🏆 Head-to-Head Comparison: Base Vehicles
Key Differences
Ram 1500 REV
- Generator: 130 kW
- Battery: 92.0 kWh
- Mass: 3405 kg (7507 lb)
- Drag: Cd 0.340, Area 2.88 m²
- Fuel Tank: 27.0 gal
Scout Terra EREV
- Generator: 100 kW
- Battery: 70.0 kWh
- Mass: 3175 kg (7000 lb)
- Drag: Cd 0.350, Area 3.40 m²
- Fuel Tank: 15.0 gal
🛣️ Drive Cycle Comparison
Characteristics of the drive cycles used in this study:
| Drive Cycle | Distance (mi) | Duration (min) | Avg Speed (mph) | Max Speed (mph) | Avg Grade (%) | Max Grade (%) | Min Grade (%) | Max Accel (m/s²) | Idle Time (%) |
|---|---|---|---|---|---|---|---|---|---|
| Davis Dam | 33.9 | 36.7 | 55.5 | 62.1 | 1.34 | 9.7 | -6.8 | 1.50 | 0.0 |
| I-70 Climb | 49.8 | 51.4 | 58.2 | 62.1 | 0.35 | 9.8 | -13.9 | 1.50 | 0.0 |
| Highway 75 MPH | 100.0 | 80.0 | 75.0 | 75.0 | 0.00 | 0.0 | 0.0 | 0.00 | 0.0 |
| US06 | 8.0 | 10.0 | 51.9 | 80.3 | 0.00 | 0.0 | 0.0 | 3.76 | 8.0 |
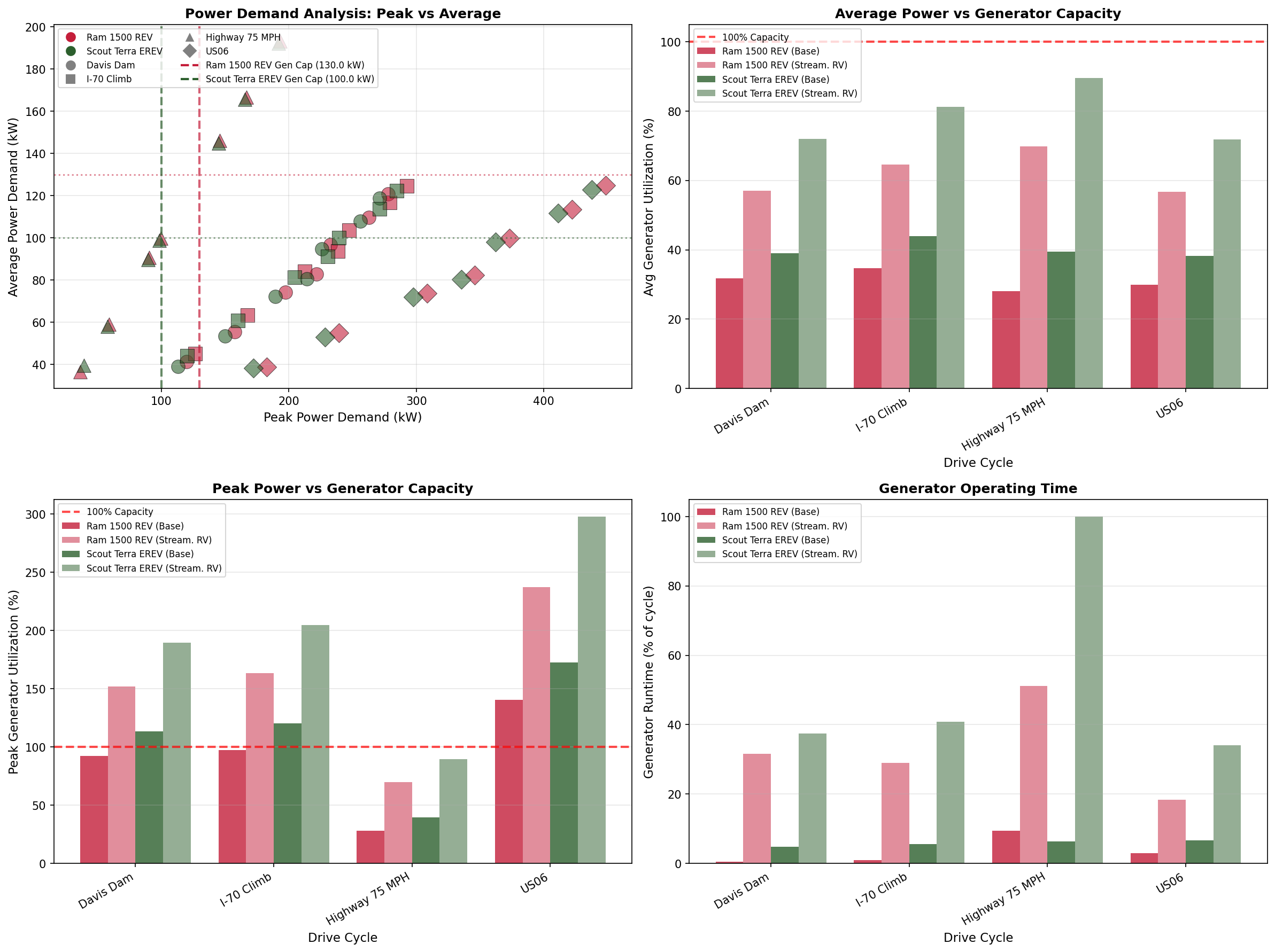
🔧 Generator Sizing Analysis
Comprehensive analysis of generator capacity adequacy across all test scenarios:

Base Vehicle Efficiency Comparison

Base Vehicle Range Comparison

Power Demand vs Generator Capacity

Maximum Generator-Sustained Speed (All Configurations)

Base Vehicle Generator Utilization

📊 Detailed Results by Vehicle
Ram 1500 REV - Detailed Analysis
Vehicle Configurations
| Configuration | Mass (kg) | Mass (lb) | Cd | Frontal Area (m²) | Generator (kW) |
|---|---|---|---|---|---|
| Ram 1500 REV | 3405 | 7507 | 0.340 | 2.88 | 130 |
| REV+Boxy Moving Trailer | 5430 | 11971 | 0.850 | 6.00 | 130 |
| REV+Boxy Long RV | 6105 | 13459 | 0.900 | 6.50 | 130 |
| REV+Streamlined RV | 5205 | 11475 | 0.550 | 5.00 | 130 |
| REV+Open Car Hauler | 5880 | 12963 | 0.750 | 4.00 | 130 |
| REV+Flatbed Utility | 4305 | 9491 | 0.450 | 3.50 | 130 |
| REV+Livestock Trailer | 6105 | 13459 | 1.000 | 7.00 | 130 |





Scout Terra EREV - Detailed Analysis
Vehicle Configurations
| Configuration | Mass (kg) | Mass (lb) | Cd | Frontal Area (m²) | Generator (kW) |
|---|---|---|---|---|---|
| Scout Terra | 3175 | 7000 | 0.350 | 3.40 | 100 |
| Scout+Boxy Moving Trailer | 5200 | 11464 | 0.850 | 6.00 | 100 |
| Scout+Boxy Long RV | 5875 | 12952 | 0.900 | 6.50 | 100 |
| Scout+Streamlined RV | 4975 | 10968 | 0.550 | 5.00 | 100 |
| Scout+Open Car Hauler | 5650 | 12456 | 0.750 | 4.00 | 100 |
| Scout+Flatbed Utility | 4075 | 8984 | 0.450 | 3.50 | 100 |
| Scout+Livestock Trailer | 5875 | 12952 | 1.000 | 7.00 | 100 |





📋 Complete Results Table
Note: Cells highlighted in red indicate power demand exceeds generator capacity or cycle cannot be completed.
| Configuration | Davis Dam | I-70 Climb | Highway 75 MPH | US06 | ||||||||||||||||
|---|---|---|---|---|---|---|---|---|---|---|---|---|---|---|---|---|---|---|---|---|
| mi/kWh | Peak kW | Avg kW | Fuel (gal) | Min SOC (%) | mi/kWh | Peak kW | Avg kW | Fuel (gal) | Min SOC (%) | mi/kWh | Peak kW | Avg kW | Fuel (gal) | Min SOC (%) | mi/kWh | Peak kW | Avg kW | Fuel (gal) | Min SOC (%) | |
| Ram 1500 REV | 1.37 | 119.8 | 41.2 | 0.01 | 0.0 | 1.48 | 126.4 | 45.1 | 0.04 | 0.0 | 1.12 | 36.4 | 36.4 | 1.54 | 0.0 | 1.26 | 182.7 | 38.8 | 0.03 | 0.1 |
| REV+Boxy Moving Trailer | 0.29 | 232.7 | 96.8 | 2.34 | 10.7 | 0.28 | 247.2 | 103.4 | 4.10 | 13.0 | 0.19 | 146.0 | 146.0 | 14.10 | N/A | 0.30 | 373.1 | 99.7 | 0.48 | 2.8 |
| REV+Boxy Long RV | 0.24 | 263.0 | 109.7 | 3.08 | 18.0 | 0.24 | 279.1 | 116.7 | 5.08 | 23.1 | 0.17 | 166.7 | 166.7 | 14.78 | N/A | 0.26 | 422.0 | 113.4 | 0.59 | 4.5 |
| REV+Streamlined RV | 0.46 | 197.2 | 74.2 | 1.20 | 2.2 | 0.47 | 212.3 | 84.0 | 1.89 | 3.4 | 0.31 | 90.7 | 90.7 | 8.43 | 0.0 | 0.50 | 308.5 | 73.7 | 0.21 | 1.1 |
| REV+Open Car Hauler | 0.40 | 221.7 | 82.8 | 1.44 | 5.5 | 0.40 | 238.5 | 93.8 | 2.42 | 7.0 | 0.28 | 99.8 | 99.8 | 9.59 | 0.0 | 0.42 | 345.9 | 82.2 | 0.30 | 1.8 |
| REV+Flatbed Utility | 0.79 | 157.8 | 55.5 | 0.33 | 0.1 | 0.87 | 167.8 | 63.2 | 0.47 | 0.3 | 0.54 | 59.1 | 59.1 | 4.42 | 0.0 | 0.78 | 239.4 | 55.0 | 0.09 | 0.4 |
| REV+Livestock Trailer | 0.21 | 278.1 | 120.7 | 3.75 | 23.1 | 0.20 | 292.4 | 124.7 | 6.14 | 32.1 | 0.16 | 193.2 | 193.2 | 15.45 | N/A | 0.22 | 448.4 | 124.8 | 0.72 | 6.3 |
| Scout Terra | 1.34 | 113.3 | 39.0 | 0.10 | 0.0 | 1.43 | 120.3 | 43.9 | 0.17 | 0.1 | 1.40 | 39.4 | 39.4 | 0.67 | 0.0 | 1.25 | 172.4 | 38.2 | 0.05 | 0.2 |
| Scout+Boxy Moving Trailer | 0.35 | 225.7 | 94.8 | 1.77 | 19.2 | 0.37 | 239.3 | 100.1 | 2.60 | 26.4 | 0.25 | 144.9 | 144.9 | 9.25 | N/A | 0.33 | 362.3 | 98.0 | 0.46 | 5.0 |
| Scout+Boxy Long RV | 0.30 | 256.0 | 107.8 | 2.14 | 27.5 | 0.31 | 271.2 | 113.7 | 3.21 | 39.5 | 0.23 | 165.6 | 165.6 | 9.86 | N/A | 0.29 | 411.2 | 111.7 | 0.53 | 7.3 |
| Scout+Streamlined RV | 0.50 | 189.5 | 72.0 | 1.10 | 8.1 | 0.54 | 204.4 | 81.2 | 1.57 | 9.6 | 0.40 | 89.5 | 89.5 | 5.97 | 0.0 | 0.50 | 297.7 | 71.9 | 0.26 | 2.1 |
| Scout+Open Car Hauler | 0.44 | 214.0 | 80.6 | 1.29 | 13.0 | 0.47 | 230.5 | 91.2 | 1.90 | 15.6 | 0.35 | 98.6 | 98.6 | 6.94 | 0.0 | 0.44 | 335.1 | 80.2 | 0.32 | 3.0 |
| Scout+Flatbed Utility | 0.73 | 150.1 | 53.4 | 0.67 | 1.1 | 0.85 | 159.9 | 60.7 | 0.72 | 1.8 | 0.73 | 58.0 | 58.0 | 2.63 | 0.0 | 0.79 | 228.6 | 53.0 | 0.12 | 0.7 |
| Scout+Livestock Trailer | 0.26 | 271.1 | 118.8 | 2.49 | 34.5 | 0.27 | 284.4 | 122.2 | 4.02 | 51.0 | 0.20 | 192.1 | 192.1 | 10.44 | N/A | 0.26 | 437.6 | 122.9 | 0.61 | 9.6 |
📊 Complete Results Visualizations
Comprehensive bar charts comparing all configurations across drive cycles.


